国立大学法人岡山大学
https://www.okayama-u.ac.jp/

<発表のポイント>
- 玄米に含まれる植物ステロール/ポリフェノールハイブリッド化合物(フェルラ酸シクロアルテニル)が、玄米の健康機能を担う主要成分である可能性を見出しました。
- フェルラ酸シクロアルテニルによる細胞保護作用とその分子メカニズムを明らかにするだけでなく、この成分の貢献度がビタミンE類よりも大きいことを明らかにしました。
- 玄米含有成分を活用した新たな機能性食品・サプリメントの開発が期待されます。
◆概 要
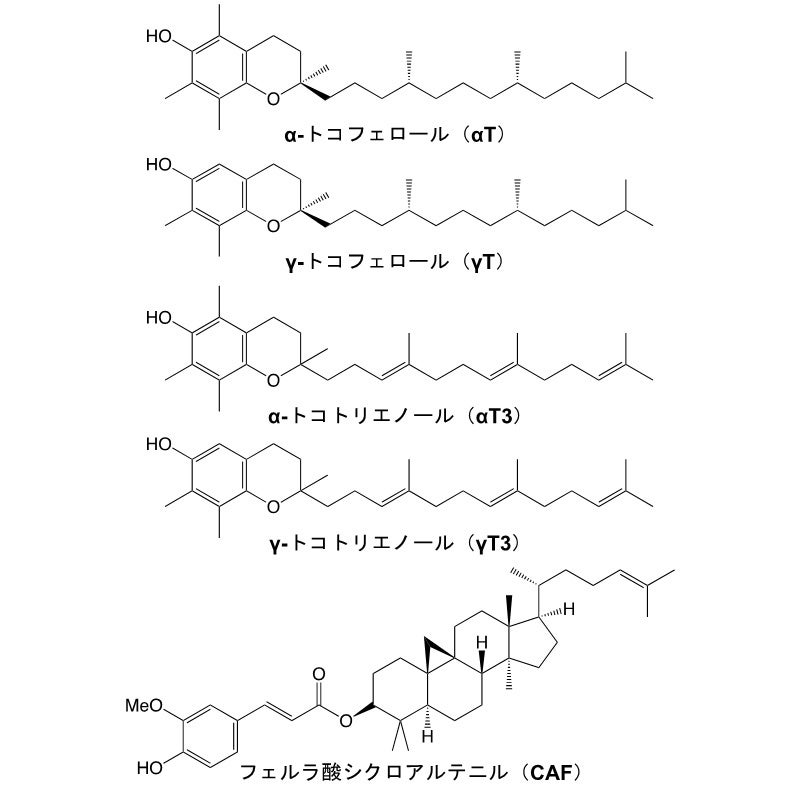
国立大学法人岡山大学(本部:岡山市北区津島中、学長:槇野博史)学術研究院環境生命科学学域(農)の中村宜督教授、中村俊之助教、同大学院環境生命科学研究科修了生Wu Hongyan博士(現・大連工業大学研究員)らの研究グループは、玄米エタノール抽出物に含まれる主要な脂溶性化合物(トコフェロール類、トコトリエノール類、γ-オリザノール類など)を定量するだけでなく、培養肝細胞モデルを用いた細胞保護効果を比較し、植物ステロールとポリフェノールのハイブリッド化合物であるフェルラ酸シクロアルテニル(CAF、γ-オリザノール類のひとつ)を、玄米の強力な細胞保護作用を担う主要成分として同定しました。
さらに、CAFの酸化ストレス誘導細胞毒性に対する保護作用とその分子機構(抗酸化物質合成酵素ヘムオキシゲナーゼ-1の発現誘導の寄与)を解明し、CAFの貢献度は玄米に含まれる著名な抗酸化物質のビタミンE類よりも大きいことを明らかにしました。
本研究成果は、玄米のもつ潜在的な健康増進作用に関して新たな科学的根拠を提供するものであり、食品の機能性や安全性の科学的理解に大きく貢献することが期待されます。さらに、本研究で同定されたCAFのユニークな生体内抗酸化作用に基づいた新たな機能性食品・サプリメントの開発につながるものと期待されます。
本研究成果は、2023年1月3日にスイスのオンライン科学雑誌「International Journal of Molecular Science」(MDPI)の特集号「Bioactive Compounds: From Diet to Therapeutic Use」に掲載されました。
玄米に含まれる主要な脂溶性成分の構造
◆中村宜督教授からのひとこと
大学院環境生命科学研究科生物機能化学講座(農学部農芸化学コース)にて、食品成分の健康機能を解明する研究を、食品化学・分析化学・分子細胞生物学などの多彩な手法を用いて行っています。普段、何気なく食べている食品に含まれる様々な成分とその可能性に興味のある方はご連絡ください。
中村宜督 教授
◆論文情報
論文名: Cycloartenyl ferulate is the predominant compound in brown rice conferring cytoprotective potential against oxidative stress-induced cytotoxicity.
邦題名「フェルラ酸シクロアルテニルは、玄米の酸化ストレスに対する細胞保護潜在能力を担う主要成分である」
掲載誌: International Journal of Molecular Science
著 者: Hongyan Wu†, Toshiyuki Nakamura†, Yingnan Guo, Riho Matsumoto, Shintaro Munemasa, Yoshiyuki Murata, Yoshimasa Nakamura(† Equally contributed to this work)
D O I: 10.3390/ ijms24010822
U R L: https://doi.org/10.3390/ijms24010822
◆謝 辞
本研究は、独立行政法人日本学術振興会(JSPS)「科学研究費助成事業」(基盤B・25292073,研究代表:中村宜督、挑戦的萌芽・16K14928,研究代表:中村宜督、基盤B・17H03818,研究代表:中村宜督、基盤B・20H02933,研究代表:中村宜督、若手研究A・17H04725,研究代表:中村俊之、基盤C・21K11676, 研究代表:中村俊之)の支援を受けて実施しました。
また、本研究で使用した玄米サンプルは、株式会社サタケの藤田明子博士にご供与いただきました。
◆詳しい研究内容について
玄米の健康機能を担う主要成分としてフェルラ酸シクロアルテニルを同定
https://www.okayama-u.ac.jp/up_load_files/press_r4/press20230111-1.pdf
◆参 考
・岡山大学農学部
http://www.okayama-u.ac.jp/user/agr/
・岡山大学大学院環境生命科学研究科
https://www.gels.okayama-u.ac.jp/
・株式会社サタケ
https://satake-japan.co.jp/

岡山大学津島キャンパス(岡山市北区)
◆本件お問い合わせ先
岡山大学 学術研究院 環境生命科学学域(農)教授 中村宜督
〒700-8530 岡山県岡山市北区津島中1丁目1番1号 岡山大学津島キャンパス
TEL:086-251-8300
FAX:086-251-8388
https://soran.cc.okayama-u.ac.jp/html/c7b6789f1b04abdd74506e4da22f6611_ja.html
<岡山大学の産学官連携などに関するお問い合わせ先>
岡山大学研究推進機構 産学官連携本部
〒700-8530 岡山県岡山市北区津島中1-1-1 岡山大学津島キャンパス 本部棟1階
TEL:086-251-8463
E-mail:sangaku◎okayama-u.ac.jp
※◎を@に置き換えて下さい
https://www.orsd.okayama-u.ac.jp/
岡山大学メディア「OTD」(アプリ):https://prtimes.jp/main/html/rd/p/000000011.000072793.html
岡山大学メディア「OTD」(ウェブ):https://prtimes.jp/main/html/rd/p/000000215.000072793.html
岡山大学SDGsホームページ:https://sdgs.okayama-u.ac.jp/
岡山大学SDGs~地域社会の持続可能性を考える(YouTube):https://youtu.be/Qdqjy4mw4ik
岡山大学Image Movie (YouTube):https://youtu.be/pKMHm4XJLtw
「岡大TV」(YouTube):https://www.youtube.com/channel/UCi4hPHf_jZ1FXqJfsacUqaw
産学共創活動「岡山大学オープンイノベーションチャレンジ」2023年1月期共創活動パートナー募集中:
https://prtimes.jp/main/html/rd/p/000001135.000072793.html
岡山大学『THEインパクトランキング2021』総合ランキング 世界トップ200位以内、国内同列1位!!
https://prtimes.jp/main/html/rd/p/000000070.000072793.html
岡山大学『大学ブランド・イメージ調査2021~2022』「SDGsに積極的な大学」中国・四国1位!!
https://prtimes.jp/main/html/rd/p/000000373.000072793.html
岡山大学『企業の人事担当者から見た大学イメージ調査2022年度版』中国・四国1位!!
https://prtimes.jp/main/html/rd/p/000000122.000072793.html
国立大学法人岡山大学は、国連の「持続可能な開発目標(SDGs)」を支援しています。また、政府の第1回「ジャパンSDGsアワード」特別賞を受賞しています

